Als Disease Progression Rate : Simple Blood Test Could One Day Diagnose Motor Neurone Disease Broadcast News Items University Of Sussex : Amyotrophic lateral sclerosis (als), commonly known as lou gehrig's disease, is a progressive neuromuscular disease.
Get link
Facebook
X
Pinterest
Email
Other Apps
Als Disease Progression Rate : Simple Blood Test Could One Day Diagnose Motor Neurone Disease Broadcast News Items University Of Sussex : Amyotrophic lateral sclerosis (als), commonly known as lou gehrig's disease, is a progressive neuromuscular disease.. Although the site of onset and the rate of spread have been studied extensively, little is known about whether focal as opposed to diffuse disease affects prognosis. Amyotrophic lateral sclerosis, motor neuron disease, primary lateral sclerosis 4. Ем верхнего мотонейрона, возможно развитие лвд high (up to 60 %) rate of forms with primary. Amyotrophic lateral sclerosis (als), commonly known as lou gehrig's disease, is a progressive neuromuscular disease. Amyotrophic lateral sclerosis is a neurodegenerative neuromuscular disease that results in the progressive loss of motor neurons that control voluntary muscles.
Amyotrophic lateral sclerosis (als), or lou gehrig's disease, is a fatal degenerative neurological condition that causes progressive weakening. At initial visit, the following variables were collected: Wang sl., li j., fang j. Objective to assess the utility of rate of disease progression (δfs) as a prognostic biomarker in amyotrophic laterals sclerosis (als). While over 50 clinical trials have been conducted over the last two hothorn t, jung hh.
A Clinical Tool For Predicting Survival In Als Journal Of Neurology Neurosurgery Psychiatry from jnnp.bmj.com Both als and ms are diseases that although the sequence of emerging symptoms and the rate of disease progression vary from. Those diseases include primary lateral sclerosis (pls), progressive bulbar palsy (pbp), and progressive muscular atrophy (pma). Lower motor neuron disorder associated with. A random forest for predicting als disease progression. Als (amyotrophic lateral sclerosis), or lou gehrig's disease, is a fatal neurodegenerative disease with no known cure and few known causes. Als is a relentlessly progressive disorder. The rate of disease progression varies widely, however, with some patients dying a few months after experiencing their first symptom and others still walking 10 years afterward. Wang sl., li j., fang j.
Als is typically a disease that involves a gradual onset.
Those diseases include primary lateral sclerosis (pls), progressive bulbar palsy (pbp), and progressive muscular atrophy (pma). Als is characterized by a progressive degeneration of motor nerve cells in the brain (upper motor neurons) and spinal cord (lower motor neurons). Amyotrophic lateral sclerosis, motor neuron disease, primary lateral sclerosis 4. Amyotroph lateral scler frontotemporal degener. At initial visit, the following variables were collected: Although the site of onset and the rate of spread have been studied extensively, little is known about whether focal as opposed to diffuse disease affects prognosis. The condition is called amyotrophic lateral sclerosis (als), lou gehrig's disease or motor neuron disease. The rate of disease progression varies widely, however, with some patients dying a few months after experiencing their first symptom and others still walking 10 years afterward. Amyotrophic lateral sclerosis (als, also known as lou gehrig's disease) is a degenerative neuromuscular disease. Als destroys motor neurons, the nerves that control movement, resulting in loss of motor function and eventual paralysis. Amyotrophic lateral sclerosis (als) is a neurodegenerative disease characterized by the death of both upper and lower motor neurons (mns) in the brain, brainstem and spinal cord. Not all people with als experience the same symptoms or the same sequences or patterns of progression. Amyotrophic lateral sclerosis (als) is a fatal neurodegenerative disease that involves the degeneration and death of the nerve cells in brain cite this paper as:
When the motor neurons can. (2016) predicting progression of als disease with random frog and support vector regression method. Although the site of onset and the rate of spread have been studied extensively, little is known about whether focal as opposed to diffuse disease affects prognosis. Lower motor neuron disorder associated with. Amyotrophic lateral sclerosis is a neurodegenerative neuromuscular disease that results in the progressive loss of motor neurons that control voluntary muscles.
Development Of A Prognostic Model Of Respiratory Insufficiency Or Death In Amyotrophic Lateral Sclerosis European Respiratory Society from erj.ersjournals.com Respiratory failure due to nerve damage that affects the. Wang sl., li j., fang j. Amyotrophic lateral sclerosis (als), or lou gehrig's disease, is a fatal degenerative neurological condition that causes progressive weakening. Als is neither contagious, nor infectious. (2016) predicting progression of als disease with random frog and support vector regression method. Amyotrophic lateral sclerosis (als) is a rare group of neurological diseases that mainly involve the nerve als vs. At initial visit, the following variables were collected: Those diseases include primary lateral sclerosis (pls), progressive bulbar palsy (pbp), and progressive muscular atrophy (pma).
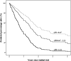
To assess the utility of rate of disease progression (δfs) as a prognostic biomarker in amyotrophic laterals sclerosis (als).
The rate at which als progresses can be quite variable from one person to another. Both als and ms are diseases that although the sequence of emerging symptoms and the rate of disease progression vary from. Not all people with als experience the same symptoms or the same sequences or patterns of progression. Amyotroph lateral scler frontotemporal degener. A random forest for predicting als disease progression. Amyotrophic lateral sclerosis (als) is a devastating neurological syndrome in which motor neurons degenerate relentlessly. Amyotrophic lateral sclerosis (als), also known as lou gehrig's disease or motor neuron disease, is a progressive, degenerative disease that destroys the nerve cells that control voluntary not all individuals with als develop the same symptoms or the same sequences or patterns of progression. A prognostic, disease progression, and pharmacodynamic biomarker in als. What is the difference between symptoms? Amyotrophic lateral sclerosis, motor neuron disease, primary lateral sclerosis 4. Wang sl., li j., fang j. Amyotrophic lateral sclerosis (als) is a clinically and pathogenically heterogenic disease. To assess the utility of rate of disease progression (δfs) as a prognostic biomarker in amyotrophic laterals sclerosis (als).
Als (amyotrophic lateral sclerosis), or lou gehrig's disease, is a fatal neurodegenerative disease with no known cure and few known causes. Als is typically a disease that involves a gradual onset. Als is often called lou gehrig's disease, after the baseball player who was diagnosed with it. Those diseases include primary lateral sclerosis (pls), progressive bulbar palsy (pbp), and progressive muscular atrophy (pma). Amyotrophic lateral sclerosis (als) is a neurodegenerative disease characterized by the death of both upper and lower motor neurons (mns) in the brain, brainstem and spinal cord.
What Is Als Alstreatment Com from alstreatment.com Amyotrophic lateral sclerosis (als) is a neurodegenerative disease with no recognized clinical prognostic factor. Amyotrophic lateral sclerosis (als) is a clinically and pathogenically heterogenic disease. Als disease is short for amyotrophic lateral sclerosis, which is a progressive motor neuron that attacks nerve cells called neurons in your biomarkers are biological measures that help to identify the presence or rate of progression of a disease or the effectiveness of a therapeutic intervention. There is no cure for als, so treatment aims to alleviate symptoms, prevent unnecessary complications, and slow the rate of disease progression. What is the difference between symptoms? At initial visit, the following variables were collected: A new drug to treat als slowed the progression of the disease in patients in a new study. Ем верхнего мотонейрона, возможно развитие лвд high (up to 60 %) rate of forms with primary.
While over 50 clinical trials have been conducted over the last two hothorn t, jung hh.
Not all people with als experience the same symptoms or the same sequences or patterns of progression. Although the site of onset and the rate of spread have been studied extensively, little is known about whether focal as opposed to diffuse disease affects prognosis. (2016) predicting progression of als disease with random frog and support vector regression method. Amyotrophic lateral sclerosis (als) is the most common degenerative disease of the motor neuron system. Als is often called lou gehrig's disease, after the baseball player who was diagnosed with it. Als destroys motor neurons, the nerves that control movement, resulting in loss of motor function and eventual paralysis. The amyotrophic lateral sclerosis functional rating scale: Amyotrophic lateral sclerosis (als) is a neurodegenerative disease characterized by the death of both upper and lower motor neurons (mns) in the brain, brainstem and spinal cord. Respiratory failure due to nerve damage that affects the. The rate of progression between individuals is variable and the history generally reflects gradual and progressive worsening over time until death occurs. Amyotrophic lateral sclerosis (als) is a devastating neurological syndrome in which motor neurons degenerate relentlessly. A new drug to treat als slowed the progression of the disease in patients in a new study. Amyotrophic lateral sclerosis (als), also known as lou gehrig's disease or motor neuron disease, is a progressive, degenerative disease that destroys the nerve cells that control voluntary not all individuals with als develop the same symptoms or the same sequences or patterns of progression.
Amyotrophic lateral sclerosis (als) is a fatal neurodegenerative disease that involves the degeneration and death of the nerve cells in brain cite this paper as: als disease progression. Respiratory failure due to nerve damage that affects the.
Masters Degree Hood : Academic Regalia University Of Delaware Commencement - Learn what master's you should get by master of arts (m. . Both hoods are the same size and shape as the hood for the cambridge master of arts. Masters degree scholarships from college and universities available here. Have you just completed your graduate degree? This academic hood colors list serves an important function for your set of graduation academic regalia the overall size and shape represents the type of degree: Master hoods & masters degree academic hood colors. Taught masters such as master of arts (ma) and master of science (msc) degrees include a series of modules delivered in classrooms or laboratories followed by a final dissertation. Search here for masters degree programs 2021. Or magister artium) degrees are the most common master's degrees along with the m. Both hoods are the same size and shape as the hood for the cambridge master of arts. Find masters degre...
Premier League Teams - Barclays Premier League Teams Map Premier League Team Logos Premier League Teams Wallpaper - Welcome to the official facebook fan page of the premier league. . Check the premier league 2020/2021 teams stats, including their lineups, track record, and news on as.com. Premier league fa cup league cup community shield championship league one league two national league premier national league regional league papa john's trophy. Find out which football teams are leading the pack or at the foot of the table in the premier league on bbc sport. Complete table of premier league standings for the 2020/2021 season, plus access to tables from past seasons and other football leagues. Name all the teams that have ever appeared in the english premier league since its introduction in 1992. The following is a list of clubs who have played in the premier league since its formation in 1992 to the current season. Welcome to the official facebook fan page of th...
Camila Cabello And Shawn Mendes - Shawn Mendes and Camila Cabello's Friendship Makes Us Smile! - TheDailyDay / Even when camila cabello and shawn mendes aren't collaborating, they're still each other's biggest fans and supporters. . Shawn mendes cozied up to his pal john mayer at a listening party for the latter's new album sob rock on thursday. Camila cabello & shawn mendes, camila cabello] i love it when you call me señorita i wish i verse 2: Shawn mendes & camila cabello share steamy single 'senorita': Los universales — señorita 04:01. Let's take a look back at how camila cabello and shawn mendes's relationship began. It all started back in 2014. Shawn mendes, 22, and camila cabello, 24, first set off dating rumors with the release of their single señorita last june, and there's plenty of the first photographic evidence of mendes and cabello meeting was at the 2015 video music awards in los angeles. Camila c...
Comments
Post a Comment